Nhân Sâm Canadian Vita
Chúng tôi không chỉ cung cấp nhân sâm ở Canada mà còn là nguồn cung cấp rất nhiều nghiên cứu hàng đầu về nhân sâm.

Hiệp Hội Trồng Nhân Sâm Ontario
Canadian Vita là một thành viên lâu năm của Hiệp Hội Trồng Nhân Sâm Ontario. Trong nhiều năm, chúng tôi đã hợp tác chặt chẽ với họ để quảng bá nhân sâm Canada ra quốc tế và đã hợp tác với họ trong nhiều sự kiện. Hiệp Hội Trồng Nhân Sâm Ontario (OGGA) là một tổ chức phi lợi nhuận dành riêng cho việc hỗ trợ ngành công nghiệp nhân sâm ở Ontario, Canada và đại diện cho những nhà trồng sâm cho ra những sản phẩm nhân sâm chất lượng cao. Hiệp hội hỗ trợ tiếp thị và nghiên cứu trong việc sản xuất và sử dụng nhân sâm, những tiến bộ trong thu hoạch và phương pháp sản xuất mới. Nghiên cứu này được cộng tác thực hiện bởi các đối tác chính phủ Canada bao gồm Cục Nông Nghiệp và Thực Phẩm Nông Nghiệp Canada (AAFC), Bộ Nông Nghiệp, Thực Phẩm và Nông Thôn Ontario (OMAFRA), Cao đẳng Fanshawe, Đại học Guelph, Đại học Toronto và Đại học Western Ontario. Hiệp hội cũng tiếp thị nhân sâm Canada chất lượng cao của mình để làm nổi bật các đặc tính độc đáo của nhân sâm và giải thích cho người tiêu dùng về lợi ích cá nhân của nhân sâm được trồng ở Ontario, Canada. Hiệp hội thu hoạch hơn 5 triệu pound nhân sâm hàng năm,con số lớn nhất trong lĩnh vực cây trồng xuất khẩu tại Ontario.
Lịch sử Nhân sâm
-
Trong hơn 5.000 năm, nhân sâm đã được sử dụng ở Trung Quốc để điều trị nhiều loại bệnh và được dùng làm thuốc bổ tăng cường sức khỏe, sinh lực và tuổi thọ. Thổ dân Canada cũng đã sử dụng nhân sâm trong vài nghìn năm. Các linh mục Dòng Tên khám phá Canada thời gian đầu những năm 1700 là những người đầu tiên ghi nhận hiện tượng văn hóa này. Đến năm 1721, nhân sâm tại Ontario, Canada bắt đầu được xuất khẩu sang Trung Quốc vì người Trung Quốc tin rằng nó có giá trị dược liệu tốt hơn. Ít lâu sau, thương mại xuất khẩu nhân sâm Canada bắt đầu phát triển mạnh mẽ và vẫn vững vàng trong suốt 300 trăm năm sau.
-
Nhân sâm là một phần của Y học cổ truyền Trung Quốc trong hơn 5000 năm và rất được ưa chuộng vì dược tính cao và những công dụng tuyệt vời của nó đối với sức khỏe con người. Thổ dân Canada và các nền văn hóa Trung Quốc từ lâu đã tôn sùng nhân sâm là “cây hình người” thần kỳ - chúng chủ yếu được biết đến như vậy vì bộ rễ có hình dạng giống người và được cho là có lợi với mọi bộ phận của con người. Từ tiếng Anh nhân sâm bắt nguồn từ thuật ngữ tiếng Trung rénshen. Rén có nghĩa là "Người" và shen có nghĩa là "rễ cây. Thú vị thay, người Iroquois gọi là nhân sâm Mỹ Garnet-oguen (có nghĩa là con người). Tên thực vật/chi của nhân sâm là Panax, có nghĩa là “chữa lành tất cả” trong tiếng Hy Lạp.

Phân biệt nhân sâm
Thuật ngữ nhân sâm thường được dùng một cách lỏng lẻo và không chính xác. Có hai loại chuẩn thực trong chi nhân sâm thuộc họ thực vật Araliacea. Panax quinquefolius là một loài và thường được gọi là nhân sâm Bắc Mỹ, Tây, Canada, Ontario hoặc Mỹ. Một loài khác là Panax Ginseng CA Meyer (theo tên nhà thực vật học đặt tên cho loại cây này) và thường được gọi là nhân sâm châu Á, Trung Quốc và Hàn Quốc. Nếu củ nhân sâm được đun sôi và/hoặc hấp, nó được gọi là Hồng sâm (trái ngược với màu trắng).
Một số loài khác thuộc chi nhân sâm là Panax japonicus (nhân sâm Nhật Bản), Panax pseudoginseng (nhân sâm Himalaya), Panax notoginseng (nhân sâm Sanqui), Panax trifolius (sâm lùn) và Panax vietnamensis (nhân sâm Việt Nam). Tuy nhiên, những loài này không thể bằng hai loại kia về giá trị thương mại hoặc lợi ích sức khỏe.
Hơn nữa, theo dữ liệu khoa học, Nhân sâm Ashwagandha hoặc nhân sâm Ấn Độ (Withania somnifera), nhân sâm Brazil hoặc Nam Mỹ (Pfaffia paniculata) và nhân sâm Siberia (Eleutherococcus senticosus) không thuộc chi nhân sâm, do đó được đặt tên không đúng.

Nhận biết Nhân sâm Bắc Mỹ
Cây nhân sâm là một loại cây lá xanh, có chiều cao khoảng 30cm, quả mọng màu đỏ tươi và có rễ củ. Rễ củ được trồng ở Canada thường có chiều dài khoảng 2,5 đến 10 cm và màu bên ngoài của nó sau khi sấy là màu nâu/ nấu nhạt, màu bên trong là màu kem/ vàng nhạt. Kết cấu của rễ củ sau khi được sấy khô (phần lớn rễ củ trồng ở Canada được sấy khô sau khi thu hoạch để bảo quản) khá xù xì và hơi nhăn. Nhân sâm có vị đắng kèm với ngọt và có mùi thơm riêng biệt.

Các hình thức sử dụng nhân sâm Canada
Nhân sâm Canada có thể được sử dụng toàn bộ rễ củ, hoặc để chiết xuất, thái lát hoặc nghiền thành bột tùy theo sở thích của người tiêu dùng.
Việc sử dụng các loại thảo mộc có chứa Adaptogen như nhân sâm, có thể giúp kiểm soát căng thẳng. Đây là cách làm có từ thời xa xưa, người tiêu thụ có thể dùng để điều hòa cơ thể. Mọi người đang ngày càng tìm kiếm các sản phẩm tập trung vào các thành phần đậm chất dinh dưỡng và hạn chế chế biến. (Bản tin kinh doanh thực phẩm, 2016)
Mặc dù nhân sâm vẫn được sử dụng rộng rãi trong y học cổ truyền và ẩm thực Trung Quốc, nhưng nó ngày càng được sử dụng rộng rãi trên thị trường, vượt xa cách thức sử dụng truyền thống tại châu Á, bao gồm nước tăng lực, sinh tố, trà, thanh bánh cung cấp năng lượng, socola, kem, bánh, sản phẩm làm đẹp và nhiều thứ khác.

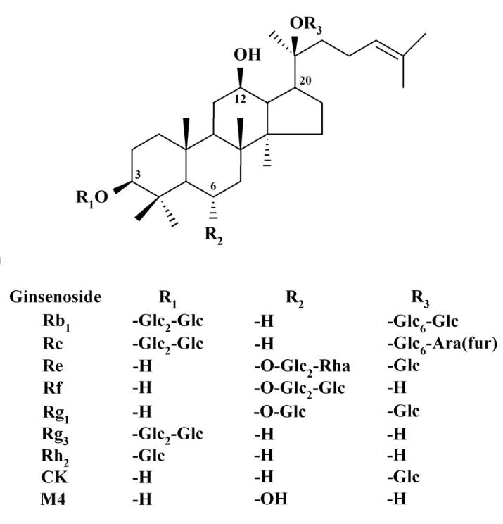
Chất Ginsenoside giúp tăng cường sức khỏe có trong Nhân sâm
Cả nhân sâm Bắc Mỹ (Panax quinquefolius) và nhân sâm châu Á (Panax ginseng) đều chứa triterpene saponin (Các Ancaloid giống steroid với chuỗi đường) được gọi là ginsenosides, cũng như polysaccharide, peptide, peptidoglycan, phenol, axit béo, vitamin và khoáng chất.
Nhân sâm Mỹ có nồng độ ginsenoside cao hơn đáng kể so với nhân sâm châu Á. Ginsenoside là thành phần có hoạt tính sinh học được cho là thành phần chính có lợi cho sức khỏe trong nhân sâm. Nhìn chung, có khoảng 30 ginsenoside khác nhau đã được xác định và sử dụng để phân biệt giữa nhân sâm châu Á và Bắc Mỹ.

Giá Trị Từng Củ Sâm - Canadian Vita
- Mặc dù Canada là một trong những quốc gia lớn nhất thế giới, nhưng chỉ một phần nhỏ đất đai có thể được sử dụng để trồng nhân sâm. Nhân sâm cần được trồng ở vùng đất đặc biệt (loại đất, thời tiết) - Southern Ontario, Canada
- Phải mất một thời gian rất dài mới có thể sản xuất được nhân sâm. Chuẩn bị đất để trồng (1 năm) , trồng trong đất (5 năm) , thu hoạch, làm lạnh và
sấy khô (3 tuần)
- Theo thời gian nó sẽ trở nên khan hiếm hơn vì sẽ không còn đất để trồng nhân sâm. Tại vì nhân sâm chỉ có thể được trồng một lần trên mỗi mảnh đất.
